中咨視界
邱志青 | 基礎設施PPP項目財務評價方法基本框架及應用案例研究
| |||||
| |||||
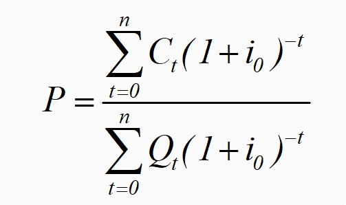
基礎設施PPP項目財務評價方法基本框架及應用案例研究 邱志青 引 言 “十四五”開局以來我國PPP發展呈現嶄新局面,進入理性發展的新階段。在公共基礎設施領域市場化深化改革中,PPP模式是推動體制機制改革創新的有效工具。咨詢機構應高度重視PPP項目建設和運營方案的系統性研究,重視財務方案專題研究,重視項目風險研究,完善PPP項目實施方案的編制和評估,切實推動PPP項目可行性研究的高質量發展。 2019年7月1日,國家發展改革委印發《關于依法依規加強PPP項目投資和建設管理的通知》(發改投資規〔2019〕1098號)(以下簡稱《通知》),再次強調PPP項目開展可行性論證的具體要求。本文以《通知》為指導,結合近年來參與交通、水利等行業PPP項目財務分析工作實踐,提出PPP項目可行性研究財務分析需要特別關注的三方面問題,旨在拋磚引玉。一是明確已批準的擬建項目可行性研究報告(以下稱《原可研報告》)的經濟費用效益分析或費用效果分析結論,確定經濟效率合理可行,或是優選的最佳方案,絕不能是“可批性”方案,這是項目擬實施PPP模式的關鍵基礎;二是從政府部門角度分析實施PPP模式具有財務上的可行性,回答“實施PPP模式是否比政府自行投資或發行債券建設運營更有利”的問題;三是回答“所設計特許經營權出讓的安排是否對社會投資者有足夠的吸引力”問題,對基礎設施項目采用PPP模式進行完整的盈利性分析和償債能力分析,回答能否滿足社會投資者的盈利要求。此外,本文還舉例演示PPP項目資產定性、可行性缺口補助以及財務分析等主要計算過程,并列出財務報表。本文提出的有關PPP項目財務分析評價的觀點愿與同行分享,懇請批評指正,并期待共同努力提升我國基礎設施PPP項目可行性研究的質量和水平。 一、公益事業與基礎設施項目經濟效率的合理性是采用PPP模式的前提 編寫擬實施PPP模式的可行性研究報告(簡稱《PPP可研報告》)是《原可研報告》的繼續與延伸。公益事業與基礎設施項目的經濟分析(指經濟學分析框架下的“經濟費用效益分析”和“經濟費用效果分析”)與PPP融資模式財務分析兩者目標具有一致性,都是研究項目資源有效配置、提高項目經濟效率,但分析內容各有側重。通俗理解,前者是通過經濟分析計算公共項目的真實經濟價值,判斷其經濟效率及資源配置的合理性,而后者則是通過財務分析選擇合理的融資方案,真正實現公共項目的財務可持續性。《原可研報告》經濟分析的結論是選擇PPP融資模式的重要依據,要強調經濟分析的主要過程及評價結論是編寫《PPP可研報告》的首要任務。 (一)經濟費用效益分析的目的與作用 1. 經濟費用效益分析的目的 經濟費用效益分析或費用效果分析的目的是為政府部門投資決策提供依據:(1)從社會資源合理配置的角度,全面說明整個社會為項目付出的代價,以及項目為提高社會福利所做出的貢獻,計算項目的經濟效率,評價項目投資的經濟合理性;(2)分析項目的經濟費用效益流量與財務現金流量存在的差別,以及造成這些差別的原因,提出相關的政策調整建議;(3)對具有明顯經濟合理性但其自身不具備財務生存能力的項目,論證對其投資建設的經濟合理性,分析利用公共資源對其進行投資建設的必要性,為政府對其投資建設和生產運營提出優惠政策、進行投資補助等決策性建議;(4)對于市場化運作的基礎設施等項目,通過經濟分析來論證項目的經濟價值,為制定財務方案提供依據。 2. 經濟費用效益分析的作用 通過經濟費用效益分析,計算項目的真實經濟價值對投資者選擇項目具有重要作用。投資人往往考慮四個方面因素:(1)項目的經濟價值是構成財務現金流量的基礎。雖然投資人直接關心的是項目財務現金流量,但項目的真實經濟價值是持續穩定獲得財務現金流量的保障;(2)項目的真實經濟價值為投資者提供承擔社會成本履行其社會責任的分析依據。例如,項目對環境產生污染,投資人直接為其污染行為付出代價,對項目可持續發展帶來的影響;(3)項目的真實經濟價值是投資人獲得政府轉移支付數量大小的分析依據。對于具有明顯外部效益但財務生存能力不足的項目,為確保項目實施,充分發揮項目外部效益,政府一般通過投資補助、稅收優惠等轉移支付方式,對參與這類項目投資者予以鼓勵和支持;(4)項目的真實經濟價值是投資者處理相關利益群體關系的重要依據,有利于投資者判斷各利益相關者受益受損情況,以及他們對項目建設和運營的抵制和支持情況,為投資者處理各種利益關系,保證項目順利實施提供依據。 (二)PPP項目本身必須具有經濟效率的合理性 1. PPP模式建立的依據是公共產品理論 運用PPP模式的目的是實現公益事業與基礎設施項目市場化運作,實現市場資源優化配置。經濟學的公共產品理論為公共產品市場化運作提供了理論依據,也是正確處理政府與市場關系、政府職能轉變、構建公共財政收支平衡計劃、推動公共服務市場化轉型的基礎理論。公共產品是相對于私人產品而言的,它具有兩個基本特征,即消費上的非競爭性和非排他性。公共產品分為純公共產品和準公共產品。純公共產品一般是政府向社會所有成員提供的公益性服務,而現實社會中純公共產品極少,大部分是帶有不同程度公用性的準公共產品,具有一定程度收費的可能性并具有排他性。隨著科學技術的發展使自然壟斷屬性的行業出現了市場競爭。實踐表明,民營部門不僅能參與公共項目的投資,還可以參與運行和管理,通過市場導向的資源配置,有民營部門參與的公共基礎設施建設和公益性項目,其經濟效率可高于由政府部門單獨實施運營管理的項目,準公共產品的這種特性使得公私合作的PPP模式應運而生。 隨著人們對公共產品認識的不斷深入,以及技術進步、政府職能轉變等,使得公共產品的市場供給成為可能。早在20世紀80年代市場經濟完善的國家對公共產品及服務供給掀起一場變革——公共產品的市場化。市場化并不意味著全部的公共產品都可以市場化,應用范圍有其邊界。市場機制供給公共產品必須受到一定的政府規制。市場供給的公共產品一般是具有一定排他性或具有一定競爭性的準公共產品。對于提供者和生產(服務)者可以分開的純公共產品,可通過政府購買服務,私人部門提供生產(服務)的方式予以解決,從而實現市場化運營;對于那些必須由政府壟斷,特別是制度性公共產品(如憲法、法律和法規、宏觀公共政策等),則不能推向市場化。 2. PPP模式內涵 PPP(Public-Private Partnership),其含義是公私合作伙伴關系, 核心意思是公共部門與私營部門建立合作伙伴關系,發揮各自優勢,合理分擔風險,實現利益共享,提高公共產品供給的質量和效率。廣義的PPP泛指公共部門與私人部門為提供公共產品或服務而建立的各種合作關系,狹義的PPP可以理解為一系列通過合作合同進行項目投融資建設及運營模式的總稱,包含BOT、BOOT、DBFOT、BOO、TOT等多種模式。 中國語境下PPP模式的內涵特指基礎設施及公共服務領域的政府和社會資本合作模式,即政府采取競爭性方式擇優確定具有投資、運營管理能力的社會資本,雙方按照平等協商原則訂立合同,明確責權利關系,由社會資本提供公共服務,政府依據公共服務績效評價結果向社會資本支付相應對價,保證社會資本獲得合理收益。政府和社會資本合作模式有利于充分發揮市場機制作用,提升公共服務的供給質量和效率,實現公共利益最大化。 歸納起來,PPP模式具有兩大特點:(1)PPP項目中政府方與社會資本方是合作伙伴契約關系。合同參與各方通常包括政府、社會資本、PPP項目公司、金融機構、建設承包商、供應商、運營商及其他參與方。合作各方充分體現“風險共擔,利益共享”;(2)PPP融資模式是以項目為主體,根據項目的預期收益、資產以及政府扶持措施來安排融資,其貸款的數量、融資成本、融資結構都與項目的現金流量和資產價值直接聯系在一起,貸款的對象是項目公司,實施有限追索。 3. 通過PPP商業方案的策劃實現財務效益與經濟效益的一致性 從公益事業與基礎設施項目經濟分析的角度看,通過PPP商業方案的策劃,使得原本不具備市場化運作條件的公共項目實現了商業化運作。政府部門以特許經營、政府購買服務等方式,與私營部門合作,發揮各自優勢,合理分擔風險,實現利益共享,通過市場導向的資源配置,實現公益事業與基礎設施項目財務盈利性分析和資源配置的效率性分析取得一致性,從而解決不完全和非市場項目的財務現金流量與經濟費用效益流量存在的差別,提高公共產品供給的質量和效率,同時減輕政府的財政負擔。 值得注意的是,公益事業與基礎設施項目采用PPP模式的重要前提,就是擬建項目本身必須具有經濟效率的合理性,即達到或超過預定的社會折現率。PPP模式僅僅是改變公益事業與基礎設施項目的運作模式,改變項目的商業及財務模式,但無法改變擬建項目的經濟效率。因此公益事業與基礎設施項目經濟效率的合理性,是采用PPP模式的重要前提,所以編寫擬實施PPP模式的可行性研究報告時,需要進一步確認已批準的項目可行性研究報告關于經濟效率合理性的研究依據和結論,據此判斷實施PPP模式的必要性與可能性。 二、PPP項目財務分析評價方法基本框架 PPP項目的財務分析評價貫穿擬建項目前期論證工作的始終,包括撰寫實施方案、招投標遴選社會投資人、草擬特許經營協議、參與合作各方談判、組建項目公司等,工作程序較多,內容相對復雜。PPP模式包含BOT、BOOT、DBFOT、BOO、TOT等多種模式,各種模式要求財務評價內容有所不同。在BOT模式下,項目全部投資盈利能力和清償能力分析的主體就是特許權受讓公司(項目公司);項目的壽命周期與受讓期一致,也就不存在期末資產回收的現金流入。如果是在BOO模式下,則與一般盈利性項目的財務分析沒有實質性區別。如果是在BT0模式,建造和運行可能是不同的受讓主體,就有必要對這些主體分別進行財務分析。總之,財務分析應建立在受讓協議規定的基礎之上。同時,還要對政府部門的現金流量進行分析,對財政資金的參與程度和模式進行比較優選,避免國有資產流失和形成過重的政府隱性債務。 本文以基礎設施特許經營建設-運營-移交(BOT)方式為例,闡述PPP模式財務分析評價的基本框架及操作難點,闡述PPP項目財務分析評價的基本框架,并結合PPP的特點,研究PPP項目財務收支的關注重點,以及如何進行PPP項目財務盈利能力、償債能力分析和政府財務收支現金流量分析,并結合具體案例進行演示。 (一)PPP項目需要進行完整的財務分析評價 投資項目財務分析評價是在國家現行投資、財政、稅收、金融、財務及會計管理體制下,運用政府公共理財和現代企業理財的理論與方法,采用市場價格預測投資項目的現金流量,從財務主體的角度,分析項目的盈利能力、長期債務的償還能力、財務上的生存能力與可持續性,是投資項目可行性研究的重要內容。PPP項目中政府方與社會資本方既是合作伙伴,同時又存在契約關系,項目風險雙方共擔,PPP項目各參與主體應依據對風險的控制能力承擔相應責任。PPP模式融資是以項目為主體的融資活動,根據項目的預期收益、現金流量和項目資產價值安排融資內容,貸款的發放對象是項目公司。項目的財務主體是經政府批準的政府和社會資本合作共同組建的項目公司,政府授予項目公司特許經營權,投資各方權利和義務均以合同或協議的方式予以呈現。投資主體是指從事投資活動,具有一定資金來源,享有投資收益的權、責、利三權統一體。PPP項目的投資主體是政府和社會資本方。融資主體是指進行融資活動,承擔融資責任和風險的項目法人單位。PPP項目的融資主體是項目法人單位,即獲得授權的項目公司。 我國公益事業及基礎設施項目采用PPP模式推進公共項目實現市場化運作的時間較短,國家尚未對此予以立法,PPP項目前期論證出現了一些誤區,最突出的問題是為了推動項目實施而忽視對財務主體特許權的受讓企業(項目公司)進行客觀真實的財務分析,人為地盡量減少政府補貼投入,千方百計滿足社會投資人的期望收益,在財務分析過程中撇開政府出資額,計算“社會投資人資本金”財務內部收益率和社會投資人期望收益率,并據此得出PPP項目財務可行性的分析結論。這樣分析違背了投資項目財務分析的基本原則,一是投入與產出不匹配,二是政府投入的財政資金不考慮回收或替代優化方案,三是利用中央政府和地方政府的分稅制安排,割裂PPP項目財務評價的完整性,扭曲了PPP項目評價的基本原則,誤導PPP項目的投資決策。 投資項目經濟與財務評價首先要遵循投入產出范圍對應一致的原則,政府投資必須評價其回收的可能性及替代優化方案。對于實行PPP模式的公益事業及基礎設施項目,財務分析應按照特定的模式框架進行操作,具體要求可參照中咨公司投資項目財務分析評價準則(以下稱《財務分析評價準則》)的明確規定,即“準經營性基礎設施、公用工程及資源開發等項目,屬于不完全市場競爭項目。當經營收費不足以覆蓋投資成本費用時,稱準經營性項目。在財務分析中除測算需要政府補貼的資金外,應優先考慮可通過政府授予特許經營權附加部分補貼或直接投資參股等措施,為投資者獲得合理回報創造條件,選擇合適的特許經營模式。這類項目應進行完整的財務分析評價,并著重分析財政補貼金額、社會投資者合理回報”。 (二)PPP項目財務收支預測 PPP項目財務收支需要進行項目全壽命周期的預測。PPP項目全生命周期(即特許經營期),應結合基礎設施和公用事業行業特點、所提供公共產品或服務需求及財務目標,統籌考慮項目公司建設及運營期間的所有收入與費用支出(包括建設成本、財務費用、運營成本及更新改造和追加投資),通常以25-30年為一個周期,通過制訂整個周期內的財務平衡計劃來實現項目的持續、平穩和高效運營。 項目計算期的確定,應結合項目行業特點,以其主要設備的經濟合理使用期作為項目的經濟壽命期,包括建設期和運營期,在項目期末回收固定資產余值和回收流動資金。 1.投資估算 PPP項目投資估算由初始階段的建設投資、建設期利息、凈營運資金和生產運營期維持運營投資組成。 (1)初始建設投資是根據政府批準的建設方案與社會資本合作的協議框架的內容,采用初步設計概算方法進行編制。 (2)凈營運資金(流動資金)根據流動資產(庫存、預付款、應收賬款及現金等)減去流動負債(應付賬款)進行估算,是項目運營所需的周轉資金。凈營運資金是投資項目所需的初期資本支出的重要組成部分,屬于永久性營運資金。PPP項目投資估算不要遺漏該項投資。 (3)項目公司生產運營階段的投資,即維持運營投資和追加投資。各種不同資產(如房屋建筑、機械設備、運輸設備等)經濟壽命不同,為維持生產正常運轉,每項設備按照規定的使用年限在適當的時候需要重置,而追加投資成本必須包括在特許經營協議框架中。 2. 財務收入 PPP項目付費機制主要是指項目公司取得投資回報的資金來源,包括使用者付費、可行性缺口補助和政府付費等。社會投資人取得事先規定的績效后應獲得相應的投資回報。社會資本投資回報系投資人提供公共產品或服務的對價。實踐中,需要根據各方的合作預期和承受能力,結合項目所涉及的行業、運作方式實際情況,因地制宜地設置合理的付費機制方式等。無論是使用者付費還是政府付費,政府強調PPP項目運作績效的評價和管理,主要對PPP項目運作、公共服務質量和公共資源使用效率等進行全過程監管和綜合考核評價、成本監審、考核評估、價格調整審核。政府考核項目績效的目的是為增強公共產品和公共服務的質量和效率。 (1)政府付費(Government Payment)是指政府直接付費購買公共產品和服務。在政府付費機制下,政府可以依據項目設施的可用性、產品或服務的使用量以及質量向項目公司付費。政府付費是公用設施類和公共服務類項目中較為常用的付費機制,在一些公共交通項目中也會采用這種機制。 (2)使用者付費(User Charges)是指由最終消費用戶直接付費購買公共產品和服務。項目公司直接從最終用戶處收取費用,以回收項目的建設和運營成本并獲得合理收益。高速公路、橋梁、地鐵等公共交通項目以及供水、供熱等公用設施項目通常可以采用使用者付費機制。 (3)可行性缺口補助(Viability Gap Funding,簡稱 VGF)是指使用者付費不足以滿足項目公司成本回收和合理回報時,由政府給予項目公司一定的經濟補助,以彌補使用者付費之外的缺口部分。可行性缺口補助是在政府付費機制與使用者付費機制之外的一種折衷選擇。在我國實踐中,可行性缺口補助的形式多種多樣,具體可能包括土地劃撥、投資入股、投資補助、優惠貸款、貸款貼息、放棄分紅權、授予項目相關開發收益權等其中的一種或多種。 以上三種付費模式中使用者付費無疑是項目公司的收入,而對于合同約定的政府補貼,需區別對待,如果該補助與項目公司銷售產品或提供勞務等經營活動密切相關,且來源于政府的經濟資源是企業產品或服務的對價或者是對價的組成部分,應當按照《企業會計準則第14號——收入》的規定計為項目公司收入。如果某些政府補貼實質是政府無償支付給項目公司,具有無償性和直接從政府取得的特征(如財政撥款、財政貼息、無償劃撥非貨幣性資產、先征后返(退)、即征即退等辦法返還的稅款等),應根據《企業會計準則第16號——政府補助》的相關規定,區分與資產相關的政府補助和與收益相關的政府補助分別進行會計處理的問題。 3.成本與費用支出 產品成本費用支出在PPP項目決策具有重要的作用,得到政府、企業及社會投資者各方廣泛的關注。成本與費用預測重點注意以下問題: (1)投資項目產品成本費用預測是以收付實現制為基礎的,即假設產品(或服務)當年的產品產量,當年全部售出,產品總成本費用和銷售收入同時計入當期利潤表。企業日常產品成本費用核算以權責發生制為基礎,權責發生制(accrual basis)又稱應收應付制原則,是指以應收應付作為確定本期收入和費用的標準,而不問貨幣資金是否在本期收到或付出。 (2)成本費用估算的主要依據:實施方案中具體運營方案并考慮特許經營協議績效考核標準,以及相關制度規定的企業成本開支范圍和費用開支標準。 (3)經營成本費用與總成本費用預測 經營成本費用=外購材料+外購燃料及動力+職工薪酬+修理費+其他費用 總成本費用=經營成本費用+折舊及攤銷+財務費 其中: 1)經營成本及費用是項目現金流量分析中所使用的特定概念,財務分析評價中將產品成本費用的構成以現金流量為主體來進行表達,包括產品生產過程中耗費的原材料、燃料、動力費及職工薪酬等直接成本及制造費、銷售費及管理費等間接費用扣除折舊、攤銷及財務費的現金支出。折舊(或折耗)及攤銷費不構成項目的現金流出。 2)PPP項目總成本費用中的折舊及攤銷,需根據BOT、BOOT、DBFOT、BOO、TOT等模式下資產權屬的不同情況分別處理。 3)BOT特許經營項目資產處理的正確與否直接關系到PPP項目總成本、利潤和稅收的計算。 特許經營項目公司建造合同收入應當按照《企業會計準則解釋第14 號》(下稱《解釋第14號》)收取或應收對價的公允價值計量,并分別以項目公司提供(或未提供)實際建造服務的不同情況確認收入,確認金融資產、無形資產或混合資產。具體解釋如下: 第一,合同規定基礎設施建成后的一定期間內,項目公司可以無條件地自合同授予方收取確定金額的貨幣資金或其他金融資產的;或在項目公司提供經營服務的收費低于某一限定金額的情況下,合同授予方按照合同規定負責將有關差價補償給項目公司,應當在確認收入的同時確認金融資產,并按照《企業會計準則第22號——金融工具確認和計量》的規定處理。 第二,合同規定項目公司在有關基礎設施建成后,從事經營的一定期間內有權利向獲取服務的對象收取費用,但收費金額不確定的,該權利不構成一項無條件收取現金的權利,項目公司應當在確認收入的同時確認無形資產。 第三,當特許服務權合同中約定需求風險,由經營方與授予方共擔,授予方承擔差額擔保部分的需求風險,經營方對可獲最低限額擔保部分的對價,應確認為金融資產,將剩余部分確認為無形資產,該無形資產為經營方從使用者付費超出最低限額部分的收費權利,項目公司應當在確認收入的同時確認混合資產。 第四,項目公司未提供實際建造服務,將基礎設施建造發包給其他方的,不應確認建造服務收入,應當按照建造過程中支付的工程價款等考慮合同規定,分別確認為金融資產或無形資產。 4.稅費支出 稅費計算是財務分析評價中現金流量計算重要的內容。稅費的計算貫穿財務分析評價的全過程,稅費計算的正確性,直接影響財務分析評價指標的合理性,進而影響投資項目決策的正確性,應予以高度的重視。 PPP項目財務分析涉及的主要稅費:增值稅、消費稅、關稅、企業所得稅、房產稅、車船稅、資源稅、土地增值稅、城鎮土地使用稅、城市維護建設稅、車輛購置稅、耕地占用稅、船舶噸稅和煙葉稅。具體計算方法請參照中咨研究系列叢書《工程項目財務評價理論方法及應用》第六章財務分析評價涉及的稅費計算。以下本文將重點解答PPP項目為什么要估算繳納流轉稅與企業所得稅的有關問題: (1)使用者付費或政府付費的稅收 由于PPP項目實質是政府與社會資本達成契約后形成的購買關系,此時項目公司提供的公共產品或服務,無論是使用者付費還是政府付費,均屬于法人公司交易行為。項目公司無論是從使用者獲得的收入,還是從政府獲得的收入,都應當作為主營業務收入,按規定繳納流轉稅與企業所得稅。 (2)可行性缺口補助的稅收 PPP項目公司因提供公共產品或公共服務獲得的可行性缺口補助,是與政府簽訂的特許經營協議(契約)而形成債權與債務關系,政府與企業屬于交易行為,企業取得的可行性缺口補助款項屬于項目公司為了保證合理的項目收益,與政府在達成PPP項目時的事先約定,是項目運營利益的必要保證,應當界定為項目公司取得的主營業務收入的一部分,按規定繳納流轉稅與企業所得稅。 (三)PPP項目財務分析評價的取價與調價機制 在PPP項目的財務分析評價中,要對項目全壽命期內的價格進行預測,這是評價中的難點,也是評價工作中的薄弱環節,成為PPP項目財務分析評價必須解決的重要問題。筆者認為,PPP項目投入物與產出物的取價可分按兩步考慮,一是在編寫實施方案的財務分析評價中選擇一套實價(Real Price)或真實價格進行財務測算,二是在特許經營協議中確定調價機制。 1.價格預測中涉及的重要概念 做好價格預測一定要掌握以下幾個重要概念,本文直接采用中咨研究系列叢書《工程項目財務評價理論方法及應用》附錄A《財務分析評價準則》2.4.1款,闡述這些重要概念。 (1)市場價格分為絕對價格和相對價格 1)絕對價格是指用貨幣單位表示的商品價格絕對水平。絕對價格變動一般體現為物價總水平的變化,即因貨幣貶值(通貨膨脹)引起的所有商品價格的普遍上漲,或因貨幣升值(通貨緊縮)引起的所有商品價格的普遍跌落。 2)相對價格是指商品間的價格比例關系。導致商品相對價格發生變化的因素很復雜,例如供應關系的變化、價格政策的變化、勞動生產率變化等都可能引起商品間比價的改變;或因消費水平變化、消費習慣改變、可替代產品的出現等引起供求關系發生變化,從而使供求均衡價格變化,引起商品間比價關系的改變等。 (2)基價、時價和真實價 財務分析評價涉及的計價體系有兩種,即固定價格或不變價格體系、實際價或現時價格體系,即涉及基價、真實價和現時價格(實際價)等三種價格。 1)基價(Basis Price)或基準價格 基價是指以基年價格水平表示,不考慮其后變動的價格,也稱固定價(Constant price)。如采用基價,則項目計算期內各年價格都是相同的,就形成了財務分析的固定價格體系。一般選擇評價工作進行的年份為基年,也有選擇預計的開始建設年份作為基年。基價是確定項目涉及的各種貨物預測價格的基礎,也是估算建設投資的基礎。 2)時價(Current price)或當時價格 時價是指投入物或產出物在各年的實際價格或當前價格,同時包含了相對價格變動和絕對價格變動,以當時的價格水平表示。以基價為基礎,按照預計的各種貨物的價格上漲率(稱為現時價格上漲率)可以分別求出其在計算期內任何一年的現時價格。假定貨物A的現時價格上漲率為3%,則在基年的基價100元的基礎上,第二年的現時價格應為[100×(1+3%)],即103元。 3)實價(Real Price)或真實價格 實價是以基年價格水平表示的,反映相對價格變化的真實價格(非實際價格),可以由現時價格或實際價格中扣除通貨膨脹因素影響以求得真實價格。如果通貨膨脹率高于現時價格上漲率,貨物的實價就可能低于現時價格。一般把實際價格的變化率,稱為實價上漲率。只有當現時價格上漲率大于通貨膨脹率時,該貨物的實價上漲率才能大于0,此時說明該貨物價格上漲超過物價總水平的上漲。 設第i年的實價上漲率為ri,通貨膨脹率為fi,各年的現時價格上漲率也相同,則有: 如果貨物間的相對價格保持不變,即實價上漲率為零,那么實價值就等于基價值,同時意味著各種貨物的現時價格上漲率相同,也即各種貨物的現時價格上漲率等于通貨膨脹率。通貨膨脹直接影響產品價格的變動。 2. 財務分析評價中財務價格預測 本文直接采用中咨研究系列叢書《工程項目財務評價理論方法及應用》附錄A《財務分析評價準則》2.5.2款的規定,介紹具體處理方法。 (1)盈利能力分析 財務盈利能力分析原則上應采用實價進行計算。以實價為基礎計算投資回收期、凈現值和內部收益率等指標,用于投資者考察項目投資的實際回收能力和盈利能力。因為實價值(實際值)是剔除了通貨膨脹影響的價值,消除了因考慮通貨膨脹帶來的“浮腫利潤”,能夠更真實地表示擬建項目投資的盈利能力,為投資決策提供可靠信息。 (2)清償能力分析 清償能力分析原則上應采用現時價格進行計算。按現時價格進行財務現金流量預測,編制損益表、資金來源與運用表及資產負債表,可以比較準確地描述計算期內各年當時的財務狀況,以正確地進行清償能力分析。 采用現時價格進行清償能力分析,在投資估算中必須考慮包含因通貨膨脹影響的價差預備費;同樣,資金籌措總額中,也應包含這部分費用,在以后的借款償還中也必須考慮這部分費用的償還。因此,只有以既考慮相對價格變化,又考慮通貨膨脹因素在內的現時價格值進行資金來源和運用的平衡分析,才能滿足投資計劃編制的要求,以滿足借款清償能力分析的需要。 (3)簡化處理 對于價格變動因素,在進行項目財務盈利能力和債務清償能力分析時,原則上應作不同處理。但為了簡化計算,根據項目具體情況,兩種分析也可采用一套預測價格,一套計算數據。即針對物價總水平的上漲因素,可以區別以下不同情況,分別進行不同的簡化處理: 1)建設期較短的項目,兩種分析在建設期內各年均可采用現時價格,生產經營期內各年均采用以建設期末(生產期初)的現時價格為基價,并以此為基礎,根據生產經營期內相對價格變化進行調整,作為投入物和產出物價格的估算依據。 2)建設期較長,確實難以預測物價上漲指數的項目,兩種分析在計算期內均可采用以基年(或建設期初)現時價格為基礎,僅考慮相對價格變化,不考慮物價總水平上漲因素,并依此價格進行清償能力分析。 3.合理確定PPP項目服務收費價格與調價機制 PPP項目服務收費是指向服務對象收取的服務費用,需分析其合理性。分析方法一般是將預測的服務收費價格與消費者承受能力和支付愿意以及政府發布的指導價格進行對比,也可與類似項目對比。有時需要在維持項目正常運營的前提下,采取倒推服務收費價格的方式,同時分析消費者支付能力。 調價機制是PPP項目采購文件和合作協議中不可缺少的重要內容。調價機制關系到政府補貼的支付形式與社會資本方的投資回報。應按照財政部相關文件要求,設置合理的價格調整機制,將政府付費金額維持在合理范圍,保障社會資本有合理的投資回報,避免損害公眾利益。有效和健全的價格調整機制是PPP項目賴以生存及可持續性經營的關鍵所在。 價格調整機制的確定,應綜合平衡政府、納稅人、消費者、行業以及相關利益者各方的需求;推動實現高效率以及高質量的公共服務水平;防止產生公眾無法接受的大幅度加價;服務價格調整與運營成本的變動必須同步,以及對更新改造和追加投資的PPI指數變化予以充分考慮。 服務價格調整機制主要做法是對影響運營成本的主要因素的變動做出合理的調整。價格調整以年度為周期,調整周期一般3-5年。PPP項目價格調整機制應依法調整,但我國目前尚未立法。 服務價格調整有多種方法,一般采用公式法。本文舉例介紹公式調價法。 【案例】 2014年1月26日,北京市發改委、交通委和財政局聯合發布了《關于調整北京市公共交通價格的通知》(京改發【2014】12526號)。附件: 調價公式: Pn=Pn-1×K Pn:第n年城市公共電汽車或軌道交通調整后的平均票價 Pn-1:第n-1年城市公共電汽車或軌道交通調整后的實例票價 n:為公歷年 K:為調整系數;K<In-1/In-2 In-1/In-2:北京市統計局公布的第n-1年人均可支配收入除以第n-2年人均可支配收入 調價系數: K=a×CPIn-1+b×En-1+c×Ln-1 a:為扣除人工費用、動力費用以外的其他費用在公共交通企業運營成本構成中所占的比例30% b:為動力費用在公共交通企業運營成本構成中所占的比例20% c:為人工費用在公共交通企業運營成本構成中所占的比例50% CPIn-1:為北京市統計局公布的第n-1年居民消費價格指數 En-1:第n-1年軌道交通年均電價與第n-2年軌道交通年均電價之比(%) Ln-1:北京市統計局公布的第n-1年交通運輸、倉儲和郵政業城鎮單位在崗職工平均工資與第n-2年平均工資之比(%)。 (四)財務基準收益率取值 財務基準收益率是投資項目財務盈利能力分析的核心參數。 1.財務基準收益率的作用 財務基準收益率本質上體現了投資者對所投資項目占用資金時間價值的判斷及對項目風險的估計。財務基準收益率是判別項目財務內部收益率是否可行的基準值,也是用于計算財務凈現值的折現率,是投資項目決策的主要判據。 2.PPP項目財務基準收益率取值應遵循的原則 PPP項目政府部門與社會資本的利益訴求不同,政府部門是維護公共利益,社會資本則追求商業利益,二者必須兼顧各方利益。財務基準收益率取值應建立在合理的利益共享機制基礎之上。社會資本承擔的PPP公益性項目,獲得特許經營權,不是追求商業利潤最大化,而強調取得相對穩定的合理的投資回報,實現“盈利但不暴利”。政府通過核定經營收費價格,或者以購買服務的方式使社會資本方獲得收入,實現項目建設運營的財務可持續性。 3.三個層次的現金流量分析財務基準收益率取值不同 (1)全部投資財務基準收益率取值應依據項目的性質而定。對于產出物價格由政府進行控制和干預的項目,財務基準收益率應根據政府政策導向,由國家或行業主管部門測算確定;對于產出物由市場定價的項目,其財務基準收益率應根據資本成本和項目風險由投資者自行確定。 PPP項目全部投資財務基準收益率的設定,應考慮基礎設施公共服務的行業特點和不同的PPP運作方式,大致可分為兩類, 一是使用者付費的PPP項目,財務基準收益率可以選擇在長期貸款基準利率基礎上加1-2個風險點。如現行市場報價利率(LPR)5年期銀行貸款基準利率4.45%,稅后財務基準收益率可以定在5%~7%左右。 二是政府付費的PPP項目,最好設定為5%~6%左右。參照金融市場上無風險收益率,通常為長期國債利率再加上1-2個左右風險點來確定。按照目前長期國債利率估算,2022年05月, 五年期國債3%-4%,十年期國債收益率為2.77%,這類PPP項目的財務基準收益率最好設定為5%~6%左右。 (2)資本金內部收益率,資本金內部收益率判別基準應為投資者最低期望收益率,它的確定主要取決于當時的資本收益水平以及資本金所有者對權益資本收益的未來期望,并與投資者對風險的態度有關。PPP項目資本金內部收益率取值可以采用社會投資者期望的收益率和政府投資收益率的加權資金成本,一般應不低于項目所得稅后財務內部收益率的判別基準。 (3)PPP項目投資各方內部收益率的判別基準,各方投資財務基準收益率的確定主要取決于投資各方對投資收益水平的期望值。對于地方政府和社會資本方來說都是至關重要的。 4.財務基準收益率以加權平均資金成本為基礎 通常以加權平均資金成本為基礎計算財務基準收益率。項目的加權平均資金成本與項目的融資結構有關,即項目的資金成本要根據項目權益資金機會成本和債務資金成本綜合考慮確定。同時應在項目加權平均資金成本基礎上加一定的風險系數(包括行業風險和項目特殊風險等),還應注意合理扣除銀行貸款利率中所包含的通貨膨脹因素。 加權平均資本成本一般是以各種資本占全部資本的比重為權數,對各種資本成本進行加權平均確定的。 【舉例】 某項目的資本結構為資本金占35%,債務資金占65%。股權結構為社會資本占比51%,政府投資占比49%。社會資本期望的收益率7%,政府投資收益率5%,債務的貸款利率6.0%。計算項目的基準財務收益率。 ic=(0.07*0.51+0.05*0.49)*0.35+0.06*0.65=0.06 5.設定財務基準收益率應與項目所采用價格體系相協調 判別基準的確定,應分析財務投入與產出所采用的價格是否包含通貨膨脹因素,如果項目全壽命周期內考慮通貨膨脹,并采用現時價格計算內部收益率,則確定判別基準時也應考慮通貨膨脹因素,反之亦然。 (五)PPP項目盈利能力分析 PPP項目盈利能力分析是項目財務分析評價的主要內容之一,包括動態現金流量分析和靜態分析(非折現盈利能力分析)兩部分,在編制現金流量表和利潤表的基礎上,計算財務內部收益率、財務凈現值、投資回收期等指標。 現金流量分析分為三個層次。項目全部投資現金流量分析,項目資本金(或自有資金)現金流量分析,投資各方現金流量分析,各層次分析都應編制相應的現金流量表,并計算相應的評價指標。 1.全部投資現金流量分析 PPP項目全部投資現金流量分析,分析主體是項目公司,投資者包括政府、社會投資人及債權人,全部建設投資(即項目總投資減去建設期利息)。財務分析的目標,項目所得稅后財務內部收益率(FIRR)大于全部投資所得稅后財務基準收益率。 項目投資現金流量分析,是針對項目基本方案進行的現金流量分析,也稱為“全部投資現金流量分析”。屬于融資前盈利能力分析,它是在不考慮負債融資條件下,進行的融資前分析(Before funding analysis),是從項目投資總獲利能力的角度,考察項目方案設計的合理性。全部投資現金流量分析不僅是息前且是從稅后角度進行的分析,考察融資前所得稅后的評價指標。該表中的“所得稅”應根據息稅前利潤(EBIT)乘以所得稅率計算,稱為“調整所得稅”。融資前息稅后現金流量分析結果,可作為項目投資決策的依據和融資方案研究的基礎。 2.項目資本金現金流量分析 PPP項目資本金現金流量分析是融資后分析(After funding analysis),用于分析判斷PPP項目方案在考慮融資條件下的合理性,分析主體是項目公司資本金的獲利能力,包括政府和社會投資人的權益資金,財務分析的判斷目標為項目資本金財務內部收益率(FIRR)大于或等于資本金基準收益率。項目資本金財務內部收益率的基準參數體現項目發起人(代表項目所有權益投資者)對投資獲利的最低期望值(最低可接受收益率MARR)或資本金資本成本。當項目資本金財務內部收益率大于或等于最低可接受收益率或資本金資本成本時,說明在該融資方案下,項目資本金獲利水平超過或達到了要求,該投融資方案是可以接受的。 項目資本金現金流量分析是融資后分析(After funding analysis),通過編制項目資本金現金流量表計算財務內部收益率、財務凈現值等指標,分析項目資本金的獲利能力。在市場經濟條件下,對項目整體獲利能力有所判斷的基礎上,項目資本金盈利能力指標是投資者最終決定投資的最重要指標,也是比較和取舍融資方案的重要依據。 3.投資各方現金流量分析 PPP項目投資各方(政府和社會投資人)現金流量分析是融資后分析,在按股本比例分配利潤及分擔虧損和風險的原則下,分析判斷政府和社會投資人投資的獲利能力,是否達到最低期望值。在特許經營協議的框架下,PPP項目在這項分析中,利潤分配可優先考慮社會投資人的最低期望值,政府可以少分利或不分利。計算投資各方的財務內部收益率可以看出各方受益的非均衡性是否在一個合理的水平上,有助于促成投資各方在合作談判中達成平等互利的協議。 4.利潤及利潤分配分析 利潤及利潤分配分析,是對項目實施后財務主體在經營期內取得的收益、總成本費用、稅費支付以及收益分配的全過程進行分析。評價PPP項目稅收及股利分配等財稅政策的合理性。 PPP項目公司的利潤及利潤分配表,反映PPP項目在計入可行性缺口補貼后每期的利潤總額。利潤及利潤分配分析屬于項目融資后分析,在項目評價中有四個重要作用:一是進行盈利性分析,計算靜態盈利指標;二是分析項目利潤總額;三是計算所得稅,凈利潤及息稅前利潤及息稅攤銷前利潤;四是為償債能力分析編制財務計劃現金流量表和資產負債表提供依據。核心內容是計算所得稅,PPP項目在稅收上的優惠政策,實行的是三免三減半。 按企業財務通則有關規定,企業年度凈利潤,除法律、行政法規另有規定外,按照以下順序分配: (1)彌補以前年度虧損。 (2)提取10%法定公積金。法定公積金累計額達到注冊資本50%以后,可以不再提取。 (3)提取任意公積金,任意公積金提取比例由投資者決議。 (4)股利分配。 股利分配是指在公司賺得的利潤中,有多少作為股利發放給股東,有多少留在公司作為再投資。應當按照《公司法》的原則,向投資者分配利潤。企業以前年度未分配的利潤,可以并入本年度利潤一并進行分配。企業需要拿出多大比例的凈利潤用于向投資者分配利潤,除了要有足夠的累計盈余外,還要考慮企業盈余的穩定性、投資機會、債務需要和舉債能力等因素,需要重點考慮企業的現金流量狀況。 在擬訂利潤分配方案時,應當預留回購股份所需利潤。企業彌補以前年度虧損和提取盈余公積后,當年沒有可分配的利潤時,不得向投資者分配利潤,但法律、行政法規另有規定的除外。 (5)向投資者分配利潤。企業以前年度未分配利潤,并入本年度利潤,在充分考慮現金流量狀況后,向投資者分配。屬于各級人民政府及其部門、機構出資的企業,應當將應付國有利潤上繳財政。 (六)償債能力分析與財務生存能力分析 PPP項目政府作為投資方與社會資本共同在市場經濟環境下建設和運行項目。因此,在實際的市場價格、補貼和稅收環境下,預測項目財務上的清償能力,分析對投資參與者的吸引能力,據以判定項目財務上的可行性和生存能力是十分必要的。 1.償債能力分析 PPP模式融資是以項目為主體安排的融資,這種融資方式不依賴于項目投資人或發起人的資信狀況及其有形資產,而是根據項目的預期收益、現金流量和項目資產價值安排融資內容,貸款的數量、融資成本的高低以及融資結構的設計都是與項目的預期現金流量和資產價值直接聯系在一起的,貸款的發放對象是專門為項目融資和經營而成立的項目公司。債務清償能力分析是分析項目財務主體計算期內是否有足夠的現金流量,按照貸款期限、還本付息方式償還項目的債務資金。核心是計算項目全壽命周期內現金流量的余缺。 債務清償能力分析的過程,重點是編制項目實施后項目公司的財務計劃現金流量表,該表是反映在項目全壽命周期各年經營、投資及籌資活動所產生現金流量的財務報表,報表的最后結果是計算出各年的凈現金流量和累計凈現金流量,用以評價項目公司取得和運用現金的能力,確定項目公司還本付息和支付股利的能力,在此基礎上進行現金流量規劃。 2.財務生存能力分析 PPP項目公司賴以生存并可持續運行的基本條件是:全壽命期內各年經營、投資及籌資活動中所產生現金流入與流出應保持平衡。財務生存能力(可持續性)分析,重點是分析計算財務計劃現金流量表各年凈現金流量和累計凈現金流量的余缺。在經營期中取得的現金流入除滿足經營活動所需的現金流出外,且應有一定余量的凈現金流量,用于償還貸款、股利分配及再投資,各年凈現金流量或累計凈現金流量仍大于等于零,說明項目公司具有財務生存能力并具有可持續性。分析中允許個別年份凈現金流量或累計凈現金流量出現負值,但出現負值的年份不宜過多,數值不宜過大,否則項目公司難于生存與發展。 (七)資產負債結構分析 資本結構是項目公司各種長期資金的構成和比例關系,主要包括:資產負債結構、權益資金結構、負債結構等。基本的比例關系是權益資金與債務資金的比例。資本結構的合理性涉及到項目投資、籌資、經營等方面。在PPP項目全壽命期內資本結構呈動態變化。資本結構合理性分析是財務可持續分析的重要內容,綜合評價項目籌資方案的合理性,判別項目財務風險的大小。 資本結構合理性分析,可利用資產負債表,進行資產負債比例、長期債務與權益資本的比例分析,來判斷企業負擔長期債務能力。 資產負債表是反映項目實施后全壽命期各年年末時點資產、負債和所有者權益構成情況的財務報表。根據該表的數據來計算資產負債率,用于分析項目公司總資產中有多少是通過負債得來的。資產負債率是評價項目公司負債水平的綜合財務比率,適度的資產負債率既能表明項目公司投資人、債權人的風險較小,又能表明項目公司經營安全、穩健、有效,具有較強的融資能力。 (八)政府現金流(government cash flow)分析 采用PPP模式,需要從政府部門角度分析實施PPP模式財務上的可行性,要回答“實施PPP模式是否比政府自行投資或發行債券建設運營更有利?”。編制政府現金流量表,系統分析政府實施PPP和自行投資兩種模式的現金流入與流出,計算并比較兩種模式凈現金流量大小,為政府選擇建設和運作模式提供科學可靠的依據。政府現金流量表中,現金流入指境外金融機構對項目的貸款收入、項目對境外和國有銀行的還本付息和其他費用收入、政府作為出資人的股利上繳收入、各種稅、費收入、其他現金流入。現金流出指對境外金融機構的還本付息和其他費、政府對項目(法人)的貸款支出、政府作為出資人的權益投資支出、其他支出(包括補貼、培訓和項目外的各種配套設施等) ,計算當期盈余,累計盈余。這張表的數值應該用現時價格,以便與債務償還等口徑一致,但這樣操作的困難是要估計今后相當長時間的通貨膨脹率。鑒于此,建議項目建設期按估計的通貨膨率價格上浮,待建設期結束項目開始運行時,按這時的時點不再上浮(即用該時刻實價計算)。 三、PPP項目財務分析案例研究 本文案例演示PPP財務分析評價的簡要過程。案例是以幾個地鐵項目為背景,數據進行綜合模擬。案例根據投資規模和資產性質不同分別做五個案例,分為兩組,第一組由PPP模式(混合資產)方案Ⅰ、PPP模式(無形資產)方案Ⅱ、傳統模式方案Ⅲ組成;第二組是項目總投資扣除洞體及人防工程投資,只計算設備及場站等工程投資,由PPP模式(混合資產)方案Ⅳ和PPP模式(無形資產)方案Ⅴ組成。案例演示PPP項目操作過程及主要難點: (1)地鐵PPP項目總投資涵蓋洞體及人防工程投資與扣除這部分投資兩種方案的對比分析;(2)PPP項目資產性質不同其評價結果的區別,有關混合資產項目金融資產和無形資產的劃分測算過程;(3)反推價格和可行性缺口補貼的計算;(4)社會資本回報率的計算過程;(5)計算政府投資的現金流量,對政府實施PPP與政府自行投資建設運營進行對比分析;(6)提供主要財務報表,表中數據為各案例總量數據;(7)復核了《原可報告》經濟費用效益分析。 本案例提供方案Ⅰ金融資產和無形資產劃分、反推價格和補貼額詳細計算過程;案例不演示投資估算、經營成本、總成本計算過程以及評價指標計算公式和不確定性分析等內容。 【案例概況】 根據某市地鐵特許經營協議的安排,政府作為項目授予方,與社會投資人組建項目公司A。按照特許經營協議要求項目公司A提供建造服務,并在建造完成后于規定的期間(特許經營期)對地鐵提供經營和維護服務。特許經營協議中對所建造的基礎設施的質量標準、工期、開始經營后提供服務的對象、收費標準及后續調整做出約定。同時在合同期滿,項目公司A負有將有關地鐵運營設施移交給項目授予方的義務,并對該地鐵運營設施在移交時的性能、狀態等做出明確規定。根據協議規定客流量80%為保底量,項目公司A對超出保底量部分有向服務使用者收費的權利。 合同中規定項目公司A在有關地鐵基礎設施建成后,從事經營的一定期間內有權利向獲取服務的對象收取費用,但根據協議規定客流量80%為保底量,標準單價如表1所示。并且根據預測,特許經營期間的客流量超出保底量,項目公司A承擔超出擔保部分之外的需求風險。相應地,對于基礎設施建設成本超過政府擔保付款額現值的部分,應作為項目公司A對超出保底量部分向服務使用者收費的權利。因此,該項目的核算模型屬于混合模型,包括某市政府擔保的金融資產部分和未擔保的無形資產部分。 根據協議,無論實際客流量的高低,項目公司A有權無條件收取最低擔保客流量所對應的金額,且客運單價可以確定(為簡化起見,本案例假設后續單價不作調整)。因此,項目公司可以預測未來經營期間的最低現金流入量(本案例假設所有現金流量于每期期末產生),并按照授予方或類似信用機構發行的債券利率作為折現率,從而確定該金額產生于建造期末的公允價值。 現實操作中,如果后續單價需要通過合同定價調整的公式確定,則在測算金融資產的現值時應該估計未來單價可能變動的情況,因而會涉及復雜的估值和計算。這也是金融資產模型下的難點之一。另外,目前的一些PPP安排,雖然存在協議定價調整機制,但實際操作中并未完全遵照執行,這也是今后需要進一步規范PPP運作的地方。 基礎設施建設總成本所形成資產的性質,因提供服務而從授予方收取現金的權利和因提供公共服務而向使用者收費的權利是兩項不同的資產。所以,在本案例中,項目公司A需要將所提供建造服務的對價分為兩部分,基于保底金額確認的金融資產和剩余金額構成的無形資產。該項目資產性質符合《解釋第14號》中的混合資產。因此,根據財務分析操作過程的需要,先確認金融資產與無形資產的分割;采用倒推價格法計算可行性缺口補貼額,然后按順序編制財務報表及計算財務指標。 五案例主要數據匯總表見表1。 (一)金融資產與無形資產測算(方案Ⅰ、方案Ⅳ) 金融資產與無形資產測算過程見表2和表2-1。關鍵步驟計算說明(僅供參考):(1)確認建設總成本;(2)確認綜合折現率或合理利潤率及利息率;(3)計算年度應付費用;(4)計算保底收入;(5)計算可行性缺口補助收入;(6)計算金融資產總收入(保底收入);(7)計算金融資產初始值(金融資產總收入折現現值);(8)計算金融資產攤余值;(9)計算金融資產的利息收入;(10)計算無形資產初始值;(11)計算無形資產攤銷。 (二)可行性缺口補助的計算 鐵路、公路運輸、通訊、電力、煤氣、供水、污水、垃圾處理等基礎設施類項目通常具有自然壟斷性,其產出是為現代社會生活提供必需的基本服務,其收費價格受政府規制,產品(或服務)相對單一,是重要的一類不完全市場項目。當運營收入不能覆蓋成本時需要計算可行性缺口補貼。可行性缺口補助計算過程如下。 1.反推價格計算公式 可行性缺口補助(Viability Gap Funding,簡稱 VGF)計算方法:反推價格法。計算公式:
式中,Ct為項目包括投資在內的各期費用,一般為財務分析的投資、經營成本估算及維持運營投資,Qt為第t期的產出供應消費的量,i0為折現率。 2.反推價格中費用取值 反推價格公式中的費用可以利用全部投資現金流量表或資本金現金流量表中的現金流出量。本文推薦在PPP項目中,采用資本金現金流量表中的現金流出計算反推價格,原因是資本金財務基準收益率是投資者期望的目標收益率,采用資本金現金流出量反推的價格,計算的補貼額可直接達到投資者期望的收益目標,同時也可滿足全部投資所得稅后財務內部收益率指標。 3.反推價格折現率取值 反推價格折現率取值可以適當取值偏高一些,需要反復試算,選取合理折現率。 方案Ⅰ反推價格選取按折現率7%,計算結果,反推價格為13.4499元/人次,計算過程見表3。 4.可行性缺口補助計算過程 (1)反推價格(P=13.4499元/人.次); (2)利用反推價格和可研報告的產品(或服務)數量計算達到目標收益率的收入總量,見表3序號2,計算票款收入41.22億元(該項收入為原運營收入和需要補貼收入之和); (3)目標收入總量減去原票款收入,計算需要補貼數額,見表3序號3,計算補貼收入(補貼票款收入與原票款收入之差(2.1-1.1))34.19億元; (4)計算金融資產保底收入與利息收入之和,見表3序號4(4.1+4.1)232.39億元; (5)調整補貼收入,當有些年序中補貼票款收入與原票款收入之差小于零時,需要調整補貼收入,令其補貼收入等于當年的金融資產保底收入與利息收入之和,見表3序號5,9.9億元; (6)補貼收入,見表3序號6,351.82億元。 (三)財務分析指標匯總 各方案可行性缺口補貼及評價指標匯總見表5。 (四)政府收支現金流量分析 政府收支現金流量表見表6。 (五)五方案數據對比分析的兩點啟示 數據對比分析結果的啟示: 啟示一:采用PPP模式要合理界定項目的范圍。基礎設施項目投資結構中純公益性設施投資占有較大比重的項目不適宜將全部投資納入PPP模式,建議將純公益性設施與運營設施分開處理,兩部分投資可選擇不同的運作模式。 第一組案例,PPP模式方案Ⅰ和方案Ⅱ與政府自建的傳統模式方案Ⅲ相比: 方案Ⅰ和方案Ⅱ根據特許經營協議規定的績效考核標準,兩方案投資、經營成本及更新改造投資均比傳統模式政府自建成本節約10%左右。表5財務指標計算結果可行性缺口補貼,方案Ⅰ為351.82億元,方案Ⅱ為325.75萬元,方案Ⅲ為278.24億元。方案Ⅲ比方案Ⅰ節約73.43億元,比方案Ⅱ節約47.51億元。表6政府現金收支流量分析結果,方案Ⅲ政府收支凈現值(ic=5%)為最小-23.69億元,比方案Ⅰ-35.71億元,減少12.02億元, 比方案Ⅱ-58.64億元,減少34.95億元。 為什么傳統模式方案Ⅲ在投資規模、經營成本、更新改造投資均高出兩方案10%左右的情況下,而財務指標優于PPP模式?主要原因有兩個: 一是,地鐵項目投資結構分為兩部分,洞體工程為地鐵運營提供了運輸空間,屬于純公益性質,且投資占比在60%左右,而投資占比40%左右的營運設施,則屬于經營性。在傳統項目實施方案中洞體及人防土建工程按80-100年提取折舊,在25年內固定資產提取折舊57.89億元,回收固定資產余值54.93億元。而選擇PPP模式時,洞體及人防建設成本在25年項目公司全部回收,顯然運營期增加了政府補貼額。 二是,政府自建模式方案Ⅲ,不存在對社會資本補貼收益的支出。政府自建模式的缺點是初始投資大,建設及運營風險全部由政府承擔。 啟示二:確認PPP模式資產性質、設置保底量及合理分擔政府與社會投資人的風險,直接影響可行性缺口補貼的計算結果。 第一組案例是全部投資(含洞體及人防工程投資)條件下的PPP模式,方案Ⅰ為混合資產,方案Ⅱ為無形資產(不再詳述)。 第二組案例扣除洞體及人防工程投資,方案Ⅳ混合資產,方案Ⅴ無形資產。以下本文重點分析第二組方案PPP模式方案Ⅳ混合資產定性的過程。 方案Ⅳ和方案Ⅴ是扣除洞體及人防土建工程投資的PPP項目,項目總投資42.46億元,資本金18.79億元,政府出資5%,為0.93億元,社會出資人出資95%,為17.85億元。方案Ⅳ資產性質為混合資產,方案Ⅴ資產性質為無形資產。兩個PPP方案的財務分析的結果完全不同,究竟應該選擇哪個方案? 1.方案Ⅳ混合資產定性的過程 PPP模式資產性質是授予方(政府)根據項目的產品及風險分擔機制來確認的。方案Ⅳ,項目公司承擔的建造服務總投資42.46億元(不含進項稅),加4%綜合利息率(或綜合折現率),政府應付款73.56億元。政府擬以票款收入支付建造成本,總票款收入70.26億元,可行性缺口73.56 -70.26 =3.30億元,稱可行性缺口補貼。根據風險分擔機制,政府承諾保底量為預測客流總量的80%,票款為56.20億元,如果票款收入不到80%,授予方予以補貼。授予方提供給項目公司保底收入為3.30+56.20=59.51億元,即應收賬款(也稱金融資產),現值(折現率ic=4%)34.89億元,即為金融資產現值,項目總投資42.46-34.89 =8.06億元,即為無形資產(詳細數據見表2-1)。政府保底以外的20%的票款特許收費權給項目公司,這是一項不確定的收入,風險由項目公司承擔。 《解釋第14號》規定:當特許服務權合同中約定需求風險,由經營方與授予方共擔,授予方承擔差額擔保部分的需求風險,經營方對可獲最低限額擔保部分的對價,應確認為金融資產,將剩余部分確認為無形資產,該無形資產為經營方從使用者付費超出最低限額部分的收費權利,項目公司應當在確認收入的同時確認混合資產。將方案Ⅳ資產性質定義為混合資產,既符合《解釋第14號》混合資產的規定,同時政府方通過設置保底量的方式來承擔相應客流風險,與地鐵PPP模式平等的風險分擔機制相吻合。 2.方案Ⅴ資產性質確定為無形資產是否合理 《解釋第14號》規定:合同規定項目公司在有關基礎設施建成后,從事經營的一定期間內有權利向獲取服務的對象收取費用,但收費金額是不確定的,該權利不構成一項無條件收取現金的權利,項目公司應當在確認收入的同時確認無形資產。 方案Ⅴ將地鐵PPP資產定性為無形資產是不符合會計準則14號解釋,將建設成本作為特許權全部攤入成本,造成成本高,利潤少。同時也不符合地鐵PPP項目平等的風險分擔機制,客流風險全部由項目公司承擔,即使可行性缺口補貼184.58億元,比方案Ⅳ191.56億元,減少6.98億元;政府收支凈現值(ic=5%)為-26.69億元,比方案Ⅳ-37.91億元,減少近10億元,此方案依然不可取。 綜上分析,BOT特許經營項目資產處理的正確與否直接關系到PPP項目總成本、利潤和稅收、可行性缺口補貼的計算,應予以高度重視。 (六)復核《原可研究報告》經濟費用效益分析 《原可研報告》經濟費用效益分析中,所采用的“有無對比”分析方法,對“無項目”方案的理解存在誤區,高估項目經濟效益,經濟內部收益率為9.5%。本文按《原可研報告》的線路方案重新界定“有無”項目范圍。“有項目”為擬建設地鐵線路,線路長約15公里。“無項目”與有項目范圍內相對應的現有公共交通通道,“無項目”客流以現有公交客流為主及“有項目”影響范圍的公交線路的客流。“無項目”客流量所涉及范圍內交通量現狀調查數據,預計遠期略有增長,見附表8。該線路平均運距7公里,地鐵出行時間26分鐘(包括步行、等待等時間),25年平均票價率2.328元/人.次。“無項目”出行以公交為主,時間為50分鐘(包括步行及等待時間),公交票價2元/人.次。時間價值采用工資法計算,見附表8。項目社會折現率取6%。 費用效益分析方法遵循《中咨公司項目經濟分析準則》提供的經濟效益和費用的識別、界定與計量方法。可貨幣化的廣義費用包括使用者和生產者效益和費用,均采用“有無對比”分析方法,分別計算使用者效益和生產者效益。使用者效益,時間節約(舒適度折算為時間節約效益),費用節約(負值)。生產者效益運營收入的增加,運營費用的增加以及“無項目”運營收入的減少,運營費用的減少。 使用者效益= (無項目運量+有項目運量)x(無項目通道的廣義費用-有項目通道的廣義費用) 生產者效益=客運收益-運營費用-無項目運營收入減少+無項目運營費用的減少 經濟效益費用計算結果:經濟內部收益率5.96%,經濟凈現值(ie=6%)等于-5588萬元,見附表8。項目經濟效益是可行的。地鐵項目外部效益顯著,不易貨幣量化,如緩解地面交通擁堵,減少環境污染,帶動沿線土地升值等等。 四、主要研究結論與建議 (一)研究結論 本文通過論證及案例演示對PPP模式進行完整的財務分析評價,回答文章引言提出的三方面問題: 1.已批準的項目可行性報告(以下稱《原可研報告》)的費用效益分析在評價方法雖有些誤區,經過本文復核確認結論基本正確,經濟效率合理可行,是優選的最佳方案,為本項目實施PPP模式運行提供重要的前提條件。 2.方案Ⅳ財務分析結果表明,扣除項目基礎設施(洞體及人防工程投資),運營設施部分實施PPP模式在財務上是可行性的,減少政府初期投資,初期投資僅為0.94億元,項目建設和運營管理的風險由項目公司承擔。政府財務收支現金流量分析,雖然支出大于收入,這是由于地鐵項目的特點所決定的,地鐵是現代化運營設施投資規模大,票價受到政府嚴格規制,項目自身財務收入較低,因此,政府補貼額較大為191.56億元。從綜合效益角度分析,方案基本可行。 3.本文案例方案Ⅳ所設計特許權出讓的安排對社會投資者有足夠的吸引力。通過PPP模式下完整的盈利性分析和償債能力分析,社會投資者財務內部收益率為8.1%,超過期望值7%,滿足社會投資者的盈利水平。 (二)建議 1.政府投資項目財務生存能力分析,不應局限在財務計劃現金流量表凈現金流量余缺的分析。應根據項目的具體情況區別對待,對于準公共產品項目生存能力分析,收益水平應達到資金成本的最低標準(銀行貸款利率)。在財務基準收益率(FIRR=5%)的條件下,采用倒推價格的方法,計算政府提供最低補貼額,這樣項目財務才具有可持續性。 2.BOT特許經營項目資產處理的正確與否直接關系到PPP項目總成本、利潤和稅收、可行性缺口補貼的計算,應予以高度重視。建議PPP項目補充編制三張財務報表:(1)凡是確認為金融資產或混合資產的項目都要編制金融資產或混合資產預測財務報表;(2)編制反推價格和可行性缺口補貼財務報表;(3)編制政府財務收支現金流量表。 3.目前我國公益事業及基礎設施項目的經濟分析工作仍處于低迷狀態,沒有得到應有的重視,嚴重影響政府投資項目決策。建議政府投資主管部門組織編寫政府投資項目(公益事業及基礎設施項目)經濟費用效益分析準則,以提高公共項目可行性研究報告經濟分析的編寫質量,為公共項目科學決策提供可靠依據。 附表 附表1全部投資現金流量表 附表2資本金現金流量表 附表3政府投資現金流量表 附表4社會投資人現金流量表 附表5利潤及利潤分配表 附表6財務計劃現金流量表 附表7資產負債表 附表8經濟費用效益流量表 | |||||
相關鏈接
- 王鵬耀 周靜 易莉 | 喀斯特山...2022-08-02
- 李開孟 伍迪 | 基礎設施采用P...2022-07-30
- 于強 王大衛 李耀琨 | 東北三...2022-07-25
- 武博祎 蘆翰晨 | 武器裝備體系...2022-07-21
- 車璐 潘小海 石緞花 | 積極推...2022-07-18
















